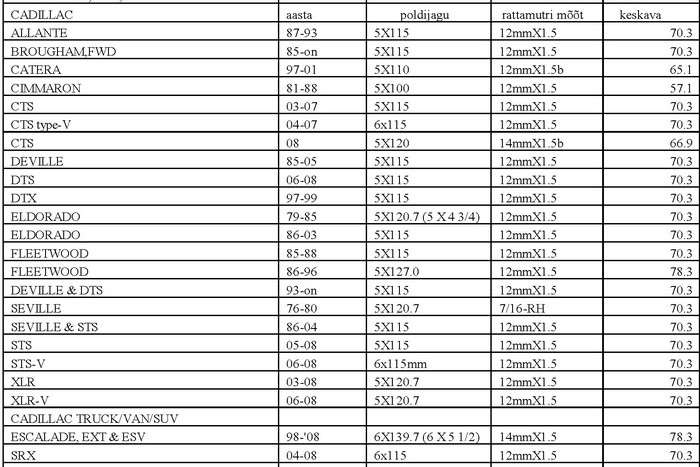
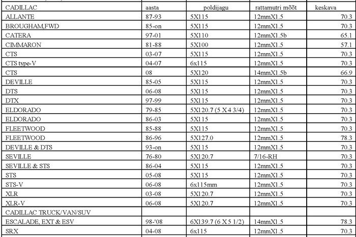
Siia on kokku kogutud abiks info - veakoodidest kuni erinevate tööde teostamiseni.
-
ain
- ravi puudub
- Posts: 5504
- Joined: 01 Nov 2005, 21:11
- Skype Kasutaja: eldorado67
- Location: Tallinn
Post
by ain »
H = High Positive Offset - FWD ( Front Wheel Drive ) Typically +45, 40, 35 offset
M = Medium Offset - RWD ( Rear Wheel Drive) Typically +20 offset
L = Low Offset - RWD ( Rear Wheel Drive ) Typically 0 offset
CB - center bore?

- refer...jpg (96.19 KiB) Viewed 14353 times