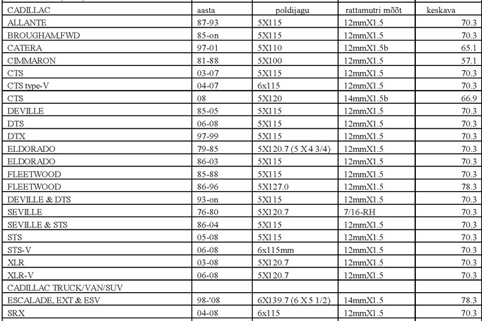
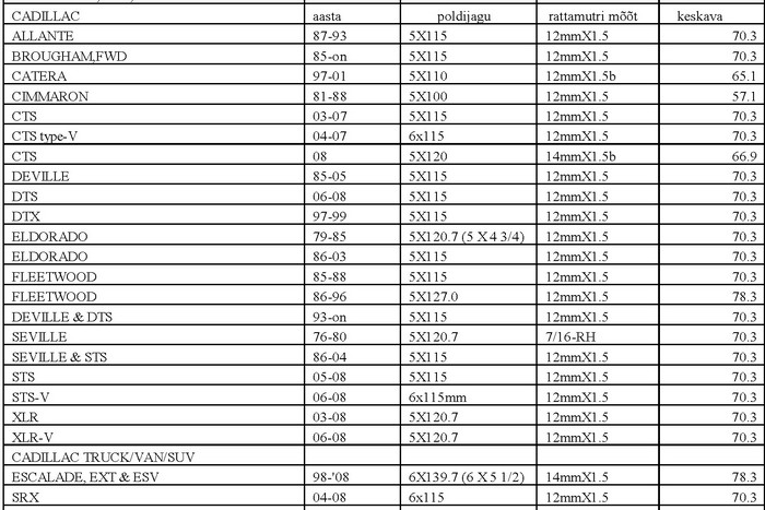
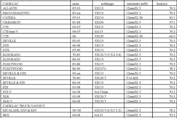
Siia on kokku kogutud abiks info - veakoodidest kuni erinevate tööde teostamiseni.
			
		
		
			- 
				
								ain							
- ravi puudub
- Posts: 5499
- Joined: 01 Nov 2005, 21:11
- Skype Kasutaja: eldorado67
- Location: Tallinn
						
					
													
							
						
									
						Post
					
								by ain » 
			
			
			
			
			
			 
 
H = High Positive Offset - FWD ( Front Wheel Drive ) Typically +45, 40, 35 offset
M = Medium Offset - RWD ( Rear Wheel Drive) Typically +20 offset
L = Low Offset - RWD ( Rear Wheel Drive ) Typically 0 offset
CB - center bore?
			
		
				
			 
- refer...jpg (96.19 KiB) Viewed 14104 times